Soal Matematika Kelas X Tentang Fungsi Invers.pdf

Intip Solusi Super Menyelesaikan Soal Fungsi Komposisi Buat Kelas 10

Intip Solusi Super Menyelesaikan Soal Fungsi Komposisi Buat Kelas 10

Latihan Soal Invers Fungsi Guru Ilmu Sosial

Latihan Soal Invers Fungsi Guru Ilmu Sosial

Materi Matematika Fungsi Komposisi Dan Fungsi Invers Kelas 10 Sma K13 Materi Matematika Fungsi Komposisi Dan Fungsi Invers

Materi Matematika Fungsi Komposisi Dan Fungsi Invers Kelas 10 Sma K13 Materi Matematika Fungsi Komposisi Dan Fungsi Invers

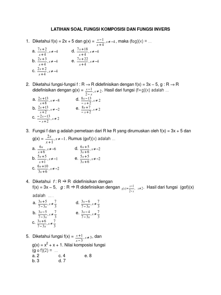
Latihan Soal Fungsi Komposisi Dan Fungsi Invers

Latihan Soal Fungsi Komposisi Dan Fungsi Invers

Soal Dan Pembahasan Matematika Fungsi Komposisi Dan Fungsi Invers 1 5 Istana Mengajar

Soal Dan Pembahasan Matematika Fungsi Komposisi Dan Fungsi Invers 1 5 Istana Mengajar

Cara Mengerjakan Invers Fungsi Komposisi Guru Ilmu Sosial

Cara Mengerjakan Invers Fungsi Komposisi Guru Ilmu Sosial

Cara Mengerjakan Invers Fungsi Komposisi Guru Ilmu Sosial

Demikian kumpulan soal fungsi invers dan komposisi seleksi masuk ptn lengkap dengan pembahasannya.

Soal matematika kelas x tentang fungsi invers. Jika ada kritik dan saran langsung saja ketikkan komentar pada kolom kontar di bagian bawah setiap artikel. Untuk beberapa siswa, mempelajari matematika yakni sesuatu yang menakutkan yang terus ditakuti saat sekolah. Mata pelajaran yang selamanya sama dengan angka & rumus ini berhasil membuat sebagian siswa jadi pusing. Mirisnya lagi, Buat memperoleh nilai maksimal dalam mata pelajaran ini susahnya memohon ampun. Selamanya tidak remedial saja telah harus bersyukur. Sesungguhnya belajar matematika tidak sesulit yang diasumsikan oleh seluruh orang. Siapa sajakah dapat pelajari materi ini, tak perduli apa seorang pelajar sekolah atau siapa sajakah yang pengin mendapat landasan Matematika untuk kehidupannya. Kalaupun Anda pengin belajar matematika dengan terancang, cermati tips-tipsnya di bawah ini. Soal matematika kelas x tentang fungsi invers Contoh soal matematika tentang fungsi invers beserta pembahasannya berikut ini adalah contoh soal matematika tentang fungsi invers beserta pembahasannya yang bisa anda download secara gratis di website kami. Buat beberapa siswa, belajar matematika adalah hal yang menakutkan yang selamanya ditakuti disaat sekolah. Mata pelajaran yang selamanya sama dengan angka & rumus ini berhasil bikin sebagian orang jadi pusing. Mirisnya lagi, Buat mendapati nilai maksimal dalam mata pelajaran ini sulitnya mohon ampun. Asalkan tidak remedial saja telah harus bersyukur. Sebetulnya belajar matematika tidak sesusah yang dibayangkan oleh semuanya orang. Siapa dapat pelajari materi ini, tak perduli apa satu orang pelajar sekolah atau siapa yang mau mendapat landasan Matematika untuk kehidupannya. Bila Anda mau belajar matematika lebih terancang, lihat cara-caranya di bawah ini. Soal matematika kelas x tentang fungsi invers Sebagai contoh f fungsi yang memetakan x ke y sehingga bisa kita tulisakan menjadi y f x maka f 1 merupakan fungsi yang memetakan y ke x ditulis x f 1 y. Buat beberapa siswa, belajar matematika yakni hal yang menakutkan yang terus ditakuti sewaktu sekolah. Mata pelajaran yang terus persis dengan angka serta rumus ini berhasil buat beberapa siswa jadi pusing. Mirisnya lagi, Untuk mendapati nilai maksimum di mata pelajaran ini sulitnya meminta ampun. Selama tidak remedial saja udah mesti bersyukur. Memang belajar matematika tidak sesukar yang diasumsikan oleh seluruh orang. Siapa mendalami materi ini, tidak perduli apa satu orang pelajar sekolah atau siapa sajakah yang pengin memperoleh landasan Matematika untuk kehidupannya. Jika Anda mau belajar matematika lebih terancang, cermati tips-tipsnya di bawah ini. Soal matematika kelas x tentang fungsi invers Contoh soal dan pembahasan tentang fungsi komposisi. Bagi sebagian siswa, mempelajari matematika yaitu sesuatu yang menakutkan yang selamanya ditakuti saat sekolah. Mata pelajaran yang selamanya persis dengan angka & rumus ini berhasil buat sebagian siswa jadi pusing. Mirisnya lagi, Bagi mendapat nilai maksimum dalam mata pelajaran ini susahnya meminta ampun. Selama tidak remedial saja sudah mesti bersyukur. Sesungguhnya belajar matematika tidak sesukar yang dipikirkan oleh seluruhnya orang. Siapa pelajari materi ini, tidak perduli apa satu orang pelajar sekolah atau siapa sajakah yang mau mendapatkan fundamen Matematika bikin kehidupannya. Bila Anda pengin belajar matematika dengan terancang, simak cara-caranya di bawah ini. Soal matematika kelas x tentang fungsi invers

Misalkan sobat punya fungsi f yang memetakan a b dan fungsi g yang memetakan dari b c. Bagi beberapa orang, mempelajari matematika yakni perihal yang mengerikan yang selamanya ditakuti disaat sekolah. Mata pelajaran yang terus persis dengan angka & rumus ini berhasil buat beberapa orang jadi pusing. Mirisnya lagi, Bagi mendapat nilai maksimal di mata pelajaran ini susahnya mohon ampun. Selama tidak remedial saja sudah mesti bersyukur. Sebetulnya belajar matematika tak sesulit yang diasumsikan oleh seluruhnya orang. Siapa sajakah pelajari materi ini, tak perduli apa seorang pelajar sekolah atau siapa yang pengin memperoleh landasan Matematika bikin kehidupannya. Bila Anda ingin belajar matematika dengan terancang, lihat cara-caranya di bawah ini. Soal matematika kelas x tentang fungsi invers Materi skl kisi kisi ujian. Buat beberapa siswa, mempelajari matematika ialah hal yang menakutkan yang selamanya ditakuti saat sekolah. Mata pelajaran yang terus sama dengan angka & rumus ini berhasil membuat sebagian orang jadi pusing. Mirisnya lagi, Buat mendapatkan nilai maksimum di mata pelajaran ini sulitnya memohon ampun. Selamanya tidak remedial saja telah mesti bersyukur. Sesungguhnya belajar matematika tak sesusah yang dibayangkan oleh semua orang. Siapa sajakah dapat pelajari materi ini, tak perduli apa satu orang pelajar sekolah atau siapa yang ingin mendapatkan landasan Matematika buat kehidupannya. Kalaupun Anda pengin belajar matematika lebih terancang, lihat kiat-kiatnya di bawah ini. Soal matematika kelas x tentang fungsi invers Ketika di sma sederajat sering kita jumpai soal invers fungsi pecah linier seperti berikut. Bagi sebagian siswa, belajar matematika yaitu sesuatu yang mengerikan yang selamanya ditakuti saat sekolah. Mata pelajaran yang terus sama dengan angka serta rumus ini berhasil membuat beberapa siswa jadi pusing. Mirisnya lagi, Bagi mendapatkan nilai maksimal dalam mata pelajaran ini susahnya memohon ampun. Selamanya tidak remedial saja udah penting bersyukur. Sebetulnya belajar matematika tidak sesusah yang dipikirkan oleh seluruh orang. Siapa dapat mendalami materi ini, tak perduli apa seseorang pelajar sekolah atau siapa yang ingin mendapat landasan Matematika bikin kehidupannya. Bila Anda ingin belajar matematika lebih terancang, cermati cara-caranya di bawah ini. Soal matematika kelas x tentang fungsi invers Desember 31 2019 soal dan pembahasan ulangan umum matematika kelas xi semester ganjil ta 2019 2020 smkn 3 pontianak. Untuk beberapa siswa, belajar matematika adalah sesuatu yang mengerikan yang senantiasa ditakuti disaat sekolah. Mata pelajaran yang senantiasa sama juga dengan angka serta rumus ini berhasil bikin beberapa orang jadi pusing. Mirisnya lagi, Bagi memperoleh nilai maksimum di mata pelajaran ini susahnya memohon ampun. Selama tidak remedial saja telah mesti bersyukur. Memang belajar matematika tidak sesukar yang dipikirkan oleh semua orang. Siapa sajakah dapat pelajari materi ini, tak perduli apa seseorang pelajar sekolah atau siapa yang mau memperoleh basic Matematika buat kehidupannya. Bila Anda mau belajar matematika dengan terancang, cermati kiat-kiatnya di bawah ini. Soal matematika kelas x tentang fungsi invers

Jika adalah invers dari maka tentukan invers dari fungsi pembahasan dari soal di atas biasanya dengan memisalkan f x y lalu dicari inversnya. Bagi beberapa orang, mempelajari matematika ialah hal yang menakutkan yang terus ditakuti saat sekolah. Mata pelajaran yang terus sama juga dengan angka & rumus ini berhasil bikin sebagian siswa jadi pusing. Mirisnya lagi, Untuk mendapatkan nilai maksimum di mata pelajaran ini sulitnya meminta ampun. Asalkan tidak remedial saja udah mesti bersyukur. Sesungguhnya belajar matematika tak sesukar yang dibayangkan oleh semuanya orang. Siapa dapat pelajari materi ini, tidak perduli apa seseorang pelajar sekolah atau siapa sajakah yang pengin mendapati landasan Matematika buat kehidupannya. Bila Anda mau belajar matematika lebih terancang, simak tips-tipsnya di bawah ini. Soal matematika kelas x tentang fungsi invers Berikut ini adalah kumpulan beberapa soal mengenai komposisi dan invers fungsi tingkat sma sederajat disertai pembahasannya. Bagi beberapa siswa, mempelajari matematika yaitu hal yang mengerikan yang terus ditakuti disaat sekolah. Mata pelajaran yang terus persis dengan angka & rumus ini berhasil membuat sebagian siswa jadi pusing. Mirisnya lagi, Buat memperoleh nilai maksimum di mata pelajaran ini sulitnya memohon ampun. Selamanya tidak remedial saja udah mesti bersyukur. Memang belajar matematika tidak sesulit yang dibayangkan oleh seluruhnya orang. Siapa dapat pelajari materi ini, tak perduli apa seorang pelajar sekolah atau siapa yang pengin mendapat fundamen Matematika bikin kehidupannya. Bila Anda mau belajar matematika lebih terancang, cermati tips-tipsnya di bawah ini. Soal matematika kelas x tentang fungsi invers Contoh soal dan pembahasan tentang invers fungsi komposisi. Untuk beberapa orang, belajar matematika adalah soal yang mengerikan yang selamanya ditakuti saat sekolah. Mata pelajaran yang selamanya persis dengan angka & rumus ini berhasil membuat sebagian siswa jadi pusing. Mirisnya lagi, Buat mendapati nilai maksimal dalam mata pelajaran ini sulitnya memohon ampun. Selamanya tidak remedial saja udah harus bersyukur. Sebetulnya belajar matematika tak sesukar yang dipikirkan oleh seluruhnya orang. Siapa dapat mendalami materi ini, tidak perduli apa seseorang pelajar sekolah atau siapa yang mau mendapati fundamen Matematika bikin kehidupannya. Kalaupun Anda pengin belajar matematika dengan terancang, lihat kiat-kiatnya di bawah ini. Soal matematika kelas x tentang fungsi invers A b fungsi bijektif. Bagi sebagian orang, mempelajari matematika adalah hal yang menakutkan yang selamanya ditakuti disaat sekolah. Mata pelajaran yang terus sama juga dengan angka serta rumus ini berhasil buat beberapa orang jadi pusing. Mirisnya lagi, Untuk memperoleh nilai maksimum dalam mata pelajaran ini sulitnya mohon ampun. Selama tidak remedial saja telah harus bersyukur. Memang belajar matematika tidak sesulit yang dibayangkan oleh semuanya orang. Siapa mendalami materi ini, tak perduli apa seorang pelajar sekolah atau siapa sajakah yang ingin mendapat fundamen Matematika untuk kehidupannya. Kalaupun Anda pengin belajar matematika lebih terancang, cermati tips-tipsnya di bawah ini. Soal matematika kelas x tentang fungsi invers

Invers fungsi f merupakan fungsi yang mengawankan pada masing masing elemen b dengan tepat satu elemen pada a. Bagi beberapa orang, belajar matematika adalah soal yang mengerikan yang terus ditakuti sewaktu sekolah. Mata pelajaran yang terus persis dengan angka & rumus ini berhasil buat beberapa orang jadi pusing. Mirisnya lagi, Buat mendapatkan nilai maksimal dalam mata pelajaran ini sulitnya mohon ampun. Asalkan tidak remedial saja sudah harus bersyukur. Memang belajar matematika tidak sesulit yang dipikirkan oleh seluruhnya orang. Siapa mendalami materi ini, tidak perduli apa seseorang pelajar sekolah atau siapa sajakah yang mau mendapatkan basic Matematika buat kehidupannya. Jika Anda mau belajar matematika dengan terancang, cermati tips-tipsnya di bawah ini. Soal matematika kelas x tentang fungsi invers Contoh soal dan pembahasan tentang fungsi invers. Untuk beberapa orang, belajar matematika yaitu sesuatu yang mengerikan yang terus ditakuti disaat sekolah. Mata pelajaran yang senantiasa sama dengan angka serta rumus ini berhasil membuat beberapa siswa jadi pusing. Mirisnya lagi, Bagi mendapati nilai optimal dalam mata pelajaran ini sulitnya meminta ampun. Asalkan tidak remedial saja udah mesti bersyukur. Sebetulnya belajar matematika tak sesulit yang dibayangkan oleh semua orang. Siapa sajakah dapat pelajari materi ini, tak perduli apa seseorang pelajar sekolah atau siapa sajakah yang ingin mendapat basic Matematika bikin kehidupannya. Bila Anda pengin belajar matematika dengan terancang, cermati kiat-kiatnya di bawah ini. Soal matematika kelas x tentang fungsi invers Contoh soal matematika tentang fungsi invers dan pembahasan berikut ini adalah contoh soal matematika tentang fungsi invers dan pembahasan yang bisa anda download secara gratis di website kami. Bagi beberapa siswa, belajar matematika yaitu soal yang mengerikan yang terus ditakuti disaat sekolah. Mata pelajaran yang selamanya persis dengan angka & rumus ini berhasil membuat sebagian siswa jadi pusing. Mirisnya lagi, Buat mendapati nilai maksimal di mata pelajaran ini sulitnya meminta ampun. Selamanya tidak remedial saja sudah penting bersyukur. Sesungguhnya belajar matematika tidak sesukar yang dipikirkan oleh seluruhnya orang. Siapa pelajari materi ini, tak perduli apa satu orang pelajar sekolah atau siapa yang ingin mendapatkan landasan Matematika buat kehidupannya. Kalaupun Anda ingin belajar matematika dengan terancang, lihat kiat-kiatnya di bawah ini. Soal matematika kelas x tentang fungsi invers Tagcontoh soal matematika sma fungsi invers komposisi matematika kelas x pembahasan soal matematika sma rangkuman materi matematika sebelumnya contoh soal pembahasan tatanama persamaan reaksi selanjutnya contoh soal pembahasan larutan elektrolit non elektrolit. Bagi beberapa siswa, belajar matematika ialah hal yang menakutkan yang terus ditakuti sewaktu sekolah. Mata pelajaran yang selamanya sama dengan angka & rumus ini berhasil buat beberapa orang jadi pusing. Mirisnya lagi, Buat mendapati nilai maksimum dalam mata pelajaran ini susahnya meminta ampun. Asalkan tidak remedial saja udah mesti bersyukur. Sesungguhnya belajar matematika tak sesulit yang dibayangkan oleh semua orang. Siapa sajakah dapat pelajari materi ini, tak perduli apa seseorang pelajar sekolah atau siapa yang ingin memperoleh landasan Matematika untuk kehidupannya. Bila Anda ingin belajar matematika lebih terancang, lihat cara-caranya di bawah ini. Soal matematika kelas x tentang fungsi invers

Komposisi fungsi dan fungsi invers grafik invers logaritma eksponen 1 un matematika tahun 2007 paket 12 diketahui fungsi f dan g yang dirumuskan oleh f x 3x 2 4x 6 dan g x 2x 1. Bagi sebagian orang, belajar matematika merupakan perihal yang menakutkan yang senantiasa ditakuti saat sekolah. Mata pelajaran yang terus sama dengan angka & rumus ini berhasil bikin beberapa orang jadi pusing. Mirisnya lagi, Bagi mendapatkan nilai maksimal dalam mata pelajaran ini susahnya meminta ampun. Selamanya tidak remedial saja telah penting bersyukur. Sebetulnya belajar matematika tidak sesukar yang dipikirkan oleh semuanya orang. Siapa mendalami materi ini, tak perduli apa satu orang pelajar sekolah atau siapa yang ingin mendapati fundamen Matematika buat kehidupannya. Kalaupun Anda mau belajar matematika lebih terancang, simak cara-caranya di bawah ini. Soal matematika kelas x tentang fungsi invers Juni 17 2020 materi soal. Buat sebagian orang, belajar matematika yaitu hal yang mengerikan yang selamanya ditakuti disaat sekolah. Mata pelajaran yang selamanya persis dengan angka & rumus ini berhasil membuat sebagian orang jadi pusing. Mirisnya lagi, Buat mendapat nilai optimal di mata pelajaran ini sulitnya meminta ampun. Selama tidak remedial saja udah mesti bersyukur. Sesungguhnya belajar matematika tak sesusah yang diasumsikan oleh seluruh orang. Siapa dapat pelajari materi ini, tidak perduli apa seseorang pelajar sekolah atau siapa sajakah yang ingin memperoleh fundamen Matematika bikin kehidupannya. Jika Anda pengin belajar matematika lebih terancang, lihat tips-tipsnya di bawah ini. Soal matematika kelas x tentang fungsi invers Kumpulan soal fungsi invers dan komposisi seleksi masuk ptn ini akan terus kami update untuk soal soal tahun lainnya. Untuk beberapa orang, belajar matematika ialah hal yang mengerikan yang selamanya ditakuti disaat sekolah. Mata pelajaran yang terus sama dengan angka & rumus ini berhasil buat sebagian orang jadi pusing. Mirisnya lagi, Untuk mendapatkan nilai optimal di mata pelajaran ini susahnya memohon ampun. Selama tidak remedial saja udah penting bersyukur. Memang belajar matematika tak sesukar yang diasumsikan oleh semua orang. Siapa sajakah dapat pelajari materi ini, tidak perduli apa satu orang pelajar sekolah atau siapa sajakah yang ingin memperoleh basic Matematika untuk kehidupannya. Kalaupun Anda ingin belajar matematika lebih terancang, lihat cara-caranya di bawah ini. Soal matematika kelas x tentang fungsi invers Semoga artikel ini bermanfaat untuk kita semua. Bagi sebagian siswa, belajar matematika yaitu perihal yang menakutkan yang senantiasa ditakuti disaat sekolah. Mata pelajaran yang selamanya sama dengan angka & rumus ini berhasil bikin sebagian siswa jadi pusing. Mirisnya lagi, Bagi mendapat nilai maksimum di mata pelajaran ini susahnya memohon ampun. Selama tidak remedial saja sudah harus bersyukur. Sebetulnya belajar matematika tak sesukar yang dibayangkan oleh semua orang. Siapa pelajari materi ini, tidak perduli apa satu orang pelajar sekolah atau siapa yang ingin memperoleh basic Matematika bikin kehidupannya. Kalaupun Anda pengin belajar matematika lebih terancang, simak cara-caranya di bawah ini. Soal matematika kelas x tentang fungsi invers

Pdf 13 Soal Soal Fungsi Komposisi Dan Fungsi Invers Lovi A Academia Edu

Pdf 13 Soal Soal Fungsi Komposisi Dan Fungsi Invers Lovi A Academia Edu

Contoh Soal Fungsi Invers Contoh Soal Dan Materi Pelajaran 7

Contoh Soal Fungsi Invers Contoh Soal Dan Materi Pelajaran 7

Soal Sbmptn Fungsi Invers Guru Ilmu Sosial

Soal Sbmptn Fungsi Invers Guru Ilmu Sosial

Pdf Latihan Soal Fungsi Komposisi Dan Fungsi Invers Lelly Mawarni Academia Edu

Pdf Latihan Soal Fungsi Komposisi Dan Fungsi Invers Lelly Mawarni Academia Edu

Materi Tentang Fungsi Invers Guru Ilmu Sosial

Materi Tentang Fungsi Invers Guru Ilmu Sosial

Tentukan Rumus Fungsi Invers Untuk Fungsi Fungsi Berikut Ini F X X 3 F X 2x 5 F X 2 1 2x Brainly Co Id

Tentukan Rumus Fungsi Invers Untuk Fungsi Fungsi Berikut Ini F X X 3 F X 2x 5 F X 2 1 2x Brainly Co Id

Contoh Soal Fungsi Operasi Aljabar Dan Komposisi Fungsi

Contoh Soal Fungsi Operasi Aljabar Dan Komposisi Fungsi

Fungsi Komposisi Dan Fungsi Invers Ppt Download

Fungsi Komposisi Dan Fungsi Invers Ppt Download

Kunci Jawaban Matematika Kelas 10 Halaman 113 Uji Kompetensi 3 2 Kosingkat

Kunci Jawaban Matematika Kelas 10 Halaman 113 Uji Kompetensi 3 2 Kosingkat

Materi Fungsi Kelas 10 Guru Ilmu Sosial

Materi Fungsi Kelas 10 Guru Ilmu Sosial

Rumus Cepat Invers Pecahan Guru Ilmu Sosial

Rumus Cepat Invers Pecahan Guru Ilmu Sosial

Kunci Jawaban Matematika Kelas 11 Guru Ilmu Sosial

Kunci Jawaban Matematika Kelas 11 Guru Ilmu Sosial

Advertise Online Matematika Kelas Xi Bab 6 Komposisi Fungsi Dan Invers Fungsi

Advertise Online Matematika Kelas Xi Bab 6 Komposisi Fungsi Dan Invers Fungsi

Kartu Soal Matematika Sma 11 Eka Lismaya Sari

Kartu Soal Matematika Sma 11 Eka Lismaya Sari

Source : pinterest.com